近日,浙江大学基础交叉研究院、量子精密测量研究院刘文权研究员、基础交叉博士生潘邹纬和新加坡国立大学Wen Wei Ho教授合作在量子遍历性研究取得突破性进展,首次在单自旋系统中观测到希尔伯特空间各态遍历性及其层级结构,相关成果以《Observation of hierarchy of Hilbert space ergodicities in the quantum dynamics of a single spin》为题,于《物理评论快报》在线发表。
一个多世纪前,玻尔兹曼提出了各态遍历假设,描绘了无论初态如何,系统的长时间演化都可均匀遍历其所有可能状态,这为经典系统的热化提供了理论诠释。近期,为了探索量子系统的热化,科学家们提出了类似的量子遍历性,即量子系统的演化在其希尔伯特空间的遍历行为(Hilbert-space ergodicity, HSE)。研究发现HSE不仅能从算符平均值的角度解释量子热化,还具备不同的层级性:高阶HSE涵盖低阶HSE,并意味着系统更深层次的热化行为。然而,量子系统的何种演化能达到什么层级的HSE并不明朗;其实验观测需要在长时间内监测量子轨迹,对量子相干性、量子调控能力提出较高要求,也尚属空白。
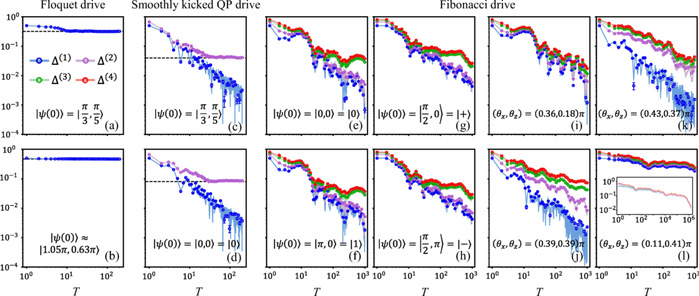
对此,研究团队首先理论上提出如图1所示的三类不同驱动:Floquet驱动、双频驱动和斐波那契驱动。计算表明它们的遍历性层级依次提升,即Floquet驱动无法达到任意层级的HSE;双频驱动可实现1-HSE,但无法达到2阶或更高的HSE;而基于斐波那契序列的驱动则可实现任意阶的HSE,即Completely-HSE (CHSE)。深入分析揭示这与驱动的复杂程度有关,具体而言,这三类驱动分别具有周期性,准周期性,和无周期性。

图1:三类不同驱动和自旋演化预期在布洛赫球上的轨迹。Floquet驱动无法遍历布洛赫球面,准周期和斐波那契驱动可以,但显然具有不同的遍历层级。
随后,团队开展了实验观测。他们选用了一块同位素纯化的金刚石样品,使得其中氮-空位色心的退相干时间在室温下就长达68 μs,为实验观测HSE提供窗口;同时开发了高保真度的量子调控技术,量子逻辑门的理论保真度高达99.99%。最终,通过施加上千个量子操作,并结合量子态层析技术,团队成功观测到如图2所示,不同驱动下单自旋系统可达到不同层级的量子遍历性。

图2:实验观测到希尔伯特空间各态遍历性及其层级结构。图中Δ⁽ᵏ⁾为演化轨迹的量子态平均值与Haar系综平均值的迹距离。Δ⁽ᵏ⁾有平台表明动力学不具备k-HSE,Δ⁽ᵏ⁾持续下降表明具备k-HSE。
该研究首次在单自旋系统观测到希尔伯特空间各态遍历性,为探索量子系统热化提供新视角;研究还揭示这类新型量子遍历性具有截然不同于经典热化的层级结构,为深入发掘量子系统超越经典热化的深度热化行为提供启发。
刘文权研究员为论文第一作者,基础交叉研究院博士生潘邹纬承担了实验实施、数据处理等任务,为论文共同第一作者。该研究得到了国家自然科学基金委、科技部、浙江省科技厅等资助。
论文链接:https://journals.aps.org/prl/abstract/10.1103/6msb-cxbc
Search